https://arxiv.org/abs/2111.09621
SimpleTrack: Understanding and Rethinking 3D Multi-object Tracking
3D multi-object tracking (MOT) has witnessed numerous novel benchmarks and approaches in recent years, especially those under the "tracking-by-detection" paradigm. Despite their progress and usefulness, an in-depth analysis of their strengths and weaknesse
arxiv.org
Abstract
3D MOT methods는 4 part로 구분할 수 있다.
pre-processing of detection, association, motion model, and life cycle management
3D MOT Pipeline

1. pre-processing of input detection
selecting the bounding boxes with scores higher than a certain threshold
2. motion model
use the Kalman filter, and CenterPoint(CV model) -> predict next frame
KF -> high frequency case
CV -> robust at low frequency case
3. association
similarity measures the distance between a pair of detection and tracklet(tracking 결과물)
4. life cycle management
controls birth, death, and output
Analyzing and Improving 3D MOT
1. Pre-processing
recall의 감소없이 precision을 높이기 위해 NMS(non-maximum suppression)에 높은 threshold 설정.
NMS -> pre-processing
2. Motion Model
Kalman Filter fits better for high-frequency cases because of more predictable motions, and the constant velocity model is more robust for low- frequency scenarios with explicit speed prediction.
본 논문에서는 KF 방식 사용
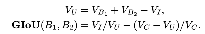
3. Association
Generalized IoU(GIoU) 제안
